Anima Radiátor kombinovaný Anima Oliver 179x75 cm antracit SIKODHR7501800A
Kód: SIKODHR7501800ASouvisející produkty
SALECODE:RUB2:2:%
Sleva 2% kód RUB2
150 Kč
–2 %
HG HG tekutý čistič odpadů HGTCO
Skladem
146 Kč
SALECODE:RUB2:2:%
Sleva 2% kód RUB2
230 Kč
–3 %
UGROUTCLEANERS75
Detailní popis produktu
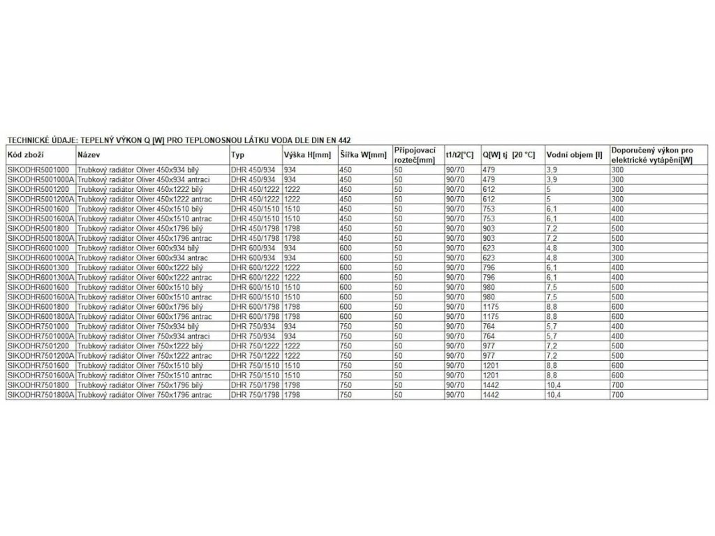
SIKO radiátor kombinovaný v antracitové barvě. Rozměr radiátoru 75x179 cm.Doplňkové parametry
| Kategorie: | KOUPELNOVÉ RADIÁTORY |
|---|---|
| EAN: | 8594158607577 |
Buďte první, kdo napíše příspěvek k této položce.
Přidat komentář
.png)